El próximo documento que la Unidad Central Operativa (UCO) de la Guardia Civil entregará en el Tribunal Supremo, que instruye el llamado Caso Koldo, será un informe patrimonial con un análisis exhaustivo del dinero que cobró el ex Secretario de Organización del PSOE, Santos Cerdán, por razón de sus cargos. Esa investigación ha mirado con lupa todos los ingresos y gastos de Cerdán, pero hace especial hincapié en el dinero recibido en metálico del PSOE en concepto de gastos adelantados por el ex diputado socialista. En realidad, es posible también que el Supremo reciba antes otro informe sobre las conversaciones de la trama respecto a la instalación de una refinería de petróleo en Canarias, que salpicaría al actual ministro Torres cuando era presidente de aquella comunidad.

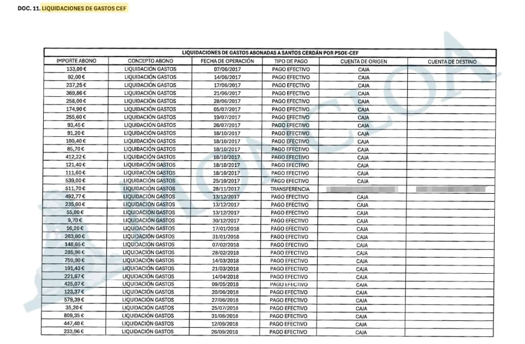
De momento las partidas dinerarias que centran las pesquisas de los agentes y que pueden suponer una losa para la petición de libertad de Santos Cerdán son dos, las relativas a los gastos como miembro del Comité Ejecutivo Federal (CEF) del PSOE y otra tabla llamada «liquidaciones de gastos PSN-PSOE», cuando la política de Cerdán se circunscribía a Navarra.
En total son 84 retribuciones por valor de 30.565,91€ desde el 7 de junio de 2014 hasta el 12 de junio de 2025, cuando Cerdán dimitió de todos sus cargos.
El dato en realidad lo ofreció el propio PSOE a través de su letrado Alberto Cachinero en 11 documentos el pasado 19 de septiembre a petición del Supremo. Esos documentos recogen las cuotas, las aportaciones al partido como diputado autonómico en Navarra, luego como diputado nacional y como cargo del comité ejecutivo federal. El informe del PSOE también incluyó las retribuciones vía nómina y cuenta corriente de los sueldos de Cerdán en el PSN, en el PSOE, como diputado del Congreso y como miembro de la dirección del comité federal socialista.
La entrega de este informe está prevista para antes de que finalice octubre, aunque otros dos agentes ultiman el relativo a la trama canaria que incluiría conversaciones con Ángel Víctor Torres, actual ministro de Administraciones Públicas, que todavía no puede ser investigado pues el Supremo no ha pedido un suplicatorio al Congreso para hacerlo y el ministro es aforado.
Dependerá de los indicios que se encuentren en esos documentos policiales y la valoración que el juez instructor haga de los mismos para ampliar la investigación a Torres o no.
De momento, la hoja de ruta judicial se está cumpliendo porque el magistrado instructor Leopoldo Puente denegó la puesta en libertad de Santos Cerdán aludiendo a pruebas que faltaban por practicarse, en referencia al citado informe patrimonial.
PROPIEDADES DE SANTOS CERDÁN
Ese documento también refleja las propiedades inmobiliarias de Santos Cerdán, consistentes según su declaración de bienes en un chalet ubicado en Milagro (Navarra), su pueblo natal.
Si el informe sigue un patrón similar al de Ábalos es previsible que es escándalo sea mayúsculo pues pondría en evidencia una práctica similar entre los considerados líderes de la trama de corrupción.
De momento tras el último documento policial del pasado viernes el juez Puente ha llamado de nuevo a declarar como investigados al exministro José Luis Ábalos, y a quien fue su asesor Koldo García Aguirre, para los próximos 15 y 16 de octubre, respectivamente, a la vista del informe de la UCO de la Guardia Civil sobre la situación patrimonial del extitular de Transportes y su vinculación económica con la situación de Koldo García.

En un auto, el juez señala que el informe de la UCO “viene a profundizar en los indicios de criminalidad que ya constaban en el presente procedimiento con relación a ambos investigados, Sres. Ábalos Meco y García Izaguirre, quienes pudieran haber mantenido entre sí métodos no trasparentes de comunicación de sus respectivos patrimonios, recibiendo indistintamente ingresos irregulares y opacos de diversa procedencia, eventualmente fruto de la comisión de los graves ilícitos penales que se les atribuyen”.

“Todo ello determina –añade el auto- la necesidad de que ambos sean llamados a presencia del instructor al efecto de que les sea recibida nueva declaración en calidad de investigados, lo mismo sobre estos aspectos que sobre los elementos ya obrantes en las actuaciones, acordándose después lo que resulte procedente”.
El magistrado explicaba que del informe policial referido “resultan consistentes indicios, a partir de la documentación recabada en esta causa especial y analizada por la fuerza actuante, de que entre los patrimonios de los investigados Sres. Ábalos Meco y García Izaguirre podrían existir significativas zonas de intersección, de tal modo que este último vendría haciéndose cargo regularmente de pagos que corresponderían al primero (tales como la pensión alimenticia de uno de sus hijos, nóminas de su empleada doméstica, regalos efectuados por éste a sus amistades, cuotas hipotecarias de un inmueble copropiedad del Sr. Ábalos Meco, viajes y otros gastos personales realizados por orden de éste, etc.), alcanzando dichos pagos un importe verdaderamente significativo en términos económicos”.
